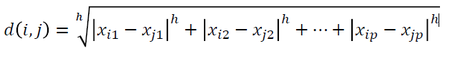
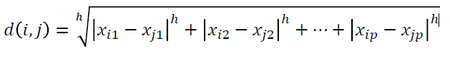
* Minkowski distance

i and j are p-dimentional data objects and h is order


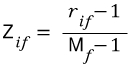
* Proximity Measure for Ordinal Variable
- ordinal data: order is important ; rank

- can be treated like numeric : replace xif by its rank

: map the range of each variable onto [0,1] by replacing i-th object in the f-th attribute by
- compute the dissimilarity using methods for numeric attributes -> use euclidean distance to construct a matrix
ex)

- test-2 의 ordinal data를 이용하여 dissimilarity matrix를 계산
- 먼저 데이터의 rank를 정한다 => { excellent = 3, good = 2, good = 1 } , 따라서 r (i, test2) 의 M(f)는 3이 된다.
- Z (1, test2) = (3-1)/(3-1) = 1
Z (2, test2) = (1-1)/(3-1) = 0
Z (3, test2) = (2-1)/(3-1) = 0.5
Z (4, test2) = (3-1)/(3-1) = 1
- Euclidean Method 를 이용하여 각각의 거리를 계산한다.

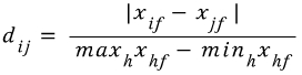
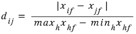
* Proximity Measure for Numerical Variable

- 위의 표에서 계산하면 , use test 3
- d(1,2) = |45-22| / (64-22) = 0.55 .. 이렇게 쭉쭉 계산해주면 된다 !
'산업공학 > Data Analytics' 카테고리의 다른 글
| FP Growth (1) | 2024.03.05 |
|---|---|
| Apriori algorithm (0) | 2024.03.05 |
| Closed Patterns and Max-Patterns (0) | 2024.03.05 |
| Frequent Patterns (0) | 2024.03.05 |
| Data Set, attributes (0) | 2024.03.05 |