- Dissimilarity Matrix (n objects x p attributes)
: Store a collection of proximities that are available for all pairs of n objects
A triangular matix, i.e., d(i,j) = d(j,i)
d(i,j) is the measured dissimilarity or "differce" between objects i and j
similarity measure sim(i,j) = 1 - d(i,j)
d(i,j) is a non-negative number that is close to 0 when objects i and j are highly similar or "near" each other, and becomes larger the more they differ

- Proximity measure for Nominal attributes
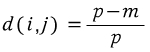
M : # of states of a nominal attribute
m : # of matches for which objects i and j are in the same state
p : total # of nominal attributes describing the objects

ex) Find the dissimilarity matrix for test-1

p=1 ; nominal attributes

,

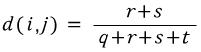
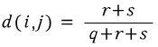
- Proximity Measure for Binary Attributes

1) dissimilarity matrix :

2) Asymmetric binary attributes :

'산업공학 > Data Analytics' 카테고리의 다른 글
| 정성적 데이터와 정량적 데이터 (1) | 2025.01.07 |
|---|---|
| Basic Statistical Descriptions of Data (1) | 2024.03.25 |
| Data Set, attributes (0) | 2024.03.25 |
| Interestingness Measure: Correlation Lift (0) | 2024.03.25 |
| ECLAT (0) | 2024.03.25 |