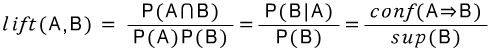
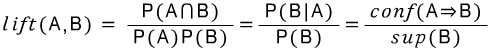
* Measure of dependent/correlated events: lift
1) Statistiacal independence
P(S∩B) = P(S) x P(B) => Statistically independence
P(S∩B) > P(S) x P(B) => Postively correlated
P(S∩B) < P(S) x P(B) => Negatively correlated
2) lift : interestingness measure: (interesting = reasonable 정도로 이해하면 될 것 같다)

- if the lift is equal to 1, then A and B are independent and there is no correlation between them.
A⊥B = [lift(A,B) = 1] = [cov(A,B) = 0]
- lift (A,B) = lift(B,A),
ex)

- lift (B,C) = (2000/5000)/[(3000/5000)*(1250/5000)] = 0.89 < 1 : negatively correlated
- lift (B,C_bar) = (1000/5000)/[(3000/5000)*(1250/5000)] = 1.33 > : positively correlated
반응형
'산업공학 > Data Analytics' 카테고리의 다른 글
| Basic Statistical Descriptions of Data (1) | 2024.03.25 |
|---|---|
| Data Set, attributes (0) | 2024.03.25 |
| ECLAT (0) | 2024.03.25 |
| Data transformation (1) | 2024.03.05 |
| Data integration (1) | 2024.03.05 |