*Gauge and Measurement System Capability / 계측기 능력 분석
- Determine how much of the observed variability is due to the gauge or measurement system
관찰된 변동성/가변성 중 계측기 또는 측정 시스템의 오류에 의한 것이 얼마나 되는지 판단하기 위해 필요

- repeatability : inherent precision of gauge
ex) due to limit in accuracy of the ruler (mm)
mm 단위로 표시되는 자를 사용하면 micrometer 단위의 오차가 발생할 수 있다.
- reproducibility : different operator or conditions
ex) due to operator or conditions; weather.
측정하는 사람이나 주변 상황에 따라 측정값이 달라질 수 있다.
* Gauge Capability Criteria
- Precision to tolerance ration or P/T ratio
- P/T ratio 의 값이 작을 수록 measurement system이 더 정확하다

- X-bar chart represents variability between different product units / x-bar 차트는 제품간의 변동 분포를 나타내고
- R chart represents the gauge measurement variability / R 차트는 측정의 변동 분포를 나타낸다.
* Gauge R & R

ex)

- X_bar_1 = 50.03 R_bar_1= 1.70
- X_bar_2 = 49.87 R_bar_2= 2.30
- R_bar_bar = (1.7 + 2.3) /2 = 2
- R_xbarbar = 50.03 - 49.87
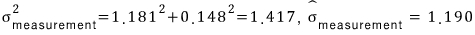
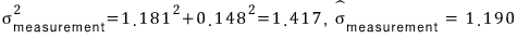
a) estimate gauge repeatability and reproducibility

b) estimate the standard deviation of measurement error

c) If the specification is 50±10, what can you say about gauge capability?

Since P/T ratio is greater than 0.1, gauge is not adquate.
'산업공학 > Manufacturing' 카테고리의 다른 글
| 소프트툴링 vs 하드툴링 (0) | 2024.04.14 |
|---|---|
| Torx Screw & Torx Plus Screw (0) | 2024.04.01 |
| CUSUM control chart (1) | 2024.03.26 |
| EWMA Control chart (1) | 2024.03.26 |
| Process Capability Analysis (0) | 2024.03.26 |