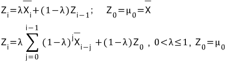
*EWMA (Exponentially Weighted Moving Average) / 지수가중이동평균
: To exponentially forget the past data, we want to attach more weight to the most recent data
과거의 데이터를 빨리 잊어버리기 위해 현재의 데이터에 더 많은 가중치를 부여한다.

Zi = monitoring statistics , Xi = observation, λ=current, (1-λ) = history weight
when λ=1 , => Shewhart chart
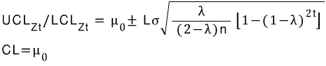
* UCL / LCL of EWMA
* In general : Var(Zt) = (σ^2/n)(λ/(2-λ))(1-(1-λ)^2t)

* Steady state control limits : Var(Zt) = (σ^2/n)(λ/(2-λ))

- EWMA Control Chart Example, with Lamda = 0.1 and L=2.7

반응형
'산업공학 > Manufacturing' 카테고리의 다른 글
| Gauge and Measurement System Capability (0) | 2024.03.26 |
|---|---|
| CUSUM control chart (1) | 2024.03.26 |
| Process Capability Analysis (0) | 2024.03.26 |
| Cost-benefit Analysis (비용편익분석) (1) | 2024.03.26 |
| X bar and S Control Chart (0) | 2024.03.25 |