* Process Capability Analysis
: 제조 공정을 안정 상태로 유지한 경우 그 공정이 만들어내는 품질의 달성 능력을 말한다.
[네이버 지식백과] 공정 능력 [process capability, 工程能力, こうていのうりょく] (용어해설)
- Cp, Cpk, Cpkm
- C.I and Hypothesis testing for Cp
* Process Capability Ration : Cp = distance between specification limits / 6*sigma

- 프로세스가 양측 규격인 경우 적용
- Cp = 1 means the process are uses up 100% tolerance band with 0.27% (2700ppm) nonconforming units for a normal distribution.
- Percentage of the specification band used up by the process
P = (1/Cp) 100%
* A measure of Actual capability

- 프로세스가 한쪽 규격이 주어진 경우 적용
- If the process is centered, then Cp = Cpk
If not centered, then Cpk < Cp
- Cp measures potential capability and Cpk measures actual capability
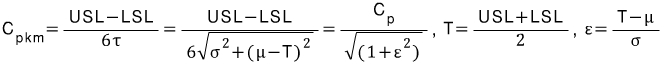
* More about Process Capability index

- 0 <= Cpkm <= Cp ,
- Cp: the first generation process capability ratio
Cpk : the second generation PCR
Cpkm : third generation PCR
* Confidence Interval for PCR

* Review of SL, CL and NTL
(Source/ 출처: ISyE512 Lecture slide U of WISC, Prof. Kaibo Liu.)

'산업공학 > Manufacturing' 카테고리의 다른 글
| CUSUM control chart (1) | 2024.03.26 |
|---|---|
| EWMA Control chart (1) | 2024.03.26 |
| Cost-benefit Analysis (비용편익분석) (1) | 2024.03.26 |
| X bar and S Control Chart (0) | 2024.03.25 |
| Control Chart for x_bar and R (0) | 2024.03.25 |