본문 바로가기
산업공학/Manufacturing

Gauge and Measurement System Capability

by 빕준 2024. 3. 26.
반응형

*Gauge and Measurement System Capability / 계측기 능력 분석

 

- Determine how much of the observed variability is due to the gauge or measurement system

   관찰된 변동성/가변성 중 계측기 또는 측정 시스템의 오류에 의한 것이 얼마나 되는지 판단하기 위해 필요

 

 

repeatability : inherent precision of gauge

 

   ex) due to limit in accuracy of the ruler (mm)

          mm 단위로 표시되는 자를 사용하면 micrometer 단위의 오차가 발생할 수 있다.

 

reproducibility : different operator or conditions

   

   ex) due to operator or conditions; weather.

          측정하는 사람이나 주변 상황에 따라 측정값이 달라질 수 있다.

 

* Gauge Capability Criteria

 

- Precision to tolerance ration or P/T ratio

- P/T ratio 의 값이 작을 수록 measurement system이 더 정확하다

 

 

- X-bar chart represents variability between different product units / x-bar 차트는 제품간의 변동 분포를 나타내고

- R chart represents the gauge measurement variability ​/ R 차트는 측정의 변동 분포를 나타낸다.

 

* Gauge R & R

 

ex)

 

 

- X_bar_1 = 50.03 R_bar_1= 1.70

- X_bar_2 = 49.87 R_bar_2= 2.30

- R_bar_bar = (1.7 + 2.3) /2 = 2

- R_xbarbar = 50.03 - 49.87

 

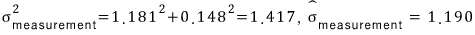
a) estimate gauge repeatability and reproducibility

 

 

b) estimate the standard deviation of measurement error

 

 

c) If the specification is 50±10, what can you say about gauge capability?

 

Since P/T ratio is greater than 0.1, gauge is not adquate.

반응형

'산업공학 > Manufacturing' 카테고리의 다른 글

소프트툴링 vs 하드툴링  (0) 2024.04.14
Torx Screw & Torx Plus Screw  (0) 2024.04.01
CUSUM control chart  (1) 2024.03.26
EWMA Control chart  (1) 2024.03.26
Process Capability Analysis  (0) 2024.03.26