S chart 는 언제 쓰면 될까 ?
1) Sample size 'n > 10' 일 때 ( n이 10보다 작거나 같을 경우 R 차트를 사용하는것이 좋다)
2) Used for variable sample size => Subgroups have different sample size
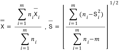
1. X bar and S control chart with variable sample size
(subgroup의 sample size가 다를 경우)

m : # of samples/ subgroups
ni : sample size for each samples/ subgroups
* 각 subgroup의 sample size가 다르지만 , 하나의 고정된 컨트롤 리밋으로 작성하고 싶을 경우에는 ni의 평균을 사용하거나 가장 많은 빈도수의 ni를 사용하더라도 결과는 크게 다르지 않다.
2. Summary of control Charts (if k=3, 3 s.d을 사용할 때)

- S chart에서 variable sample size 일 때, A3, B3 and B4 는 각 sample size에 대응하는 값을 사용한다.
반응형
'산업공학 > Manufacturing' 카테고리의 다른 글
| Process Capability Analysis (0) | 2024.03.26 |
|---|---|
| Cost-benefit Analysis (비용편익분석) (1) | 2024.03.26 |
| Control Chart for x_bar and R (0) | 2024.03.25 |
| Root Cause Analysis (1) | 2024.03.25 |
| 2. Work place Ergonomics (0) | 2021.10.12 |